Welcome to Ben Greenfield’s Weekly Roundup!
On this weekly submit, I share with you my most fascinating discoveries of the week, together with the most recent information on the fronts of health, vitamin, well being, wellness, biohacking, and anti-aging analysis. I additionally recap my upcoming occasions and particular bulletins so you may sustain with alternatives to be taught, giveaways, reductions, and extra!
New Discoveries
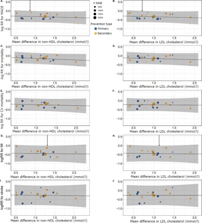
Learn This If You’re on a Statin (or Contemplating One) 🫀🧬📉

This would possibly change how you consider ldl cholesterol, particularly when you’ve been advised that “decrease LDL in any respect prices” is the entire heart-health story.
A brand new assessment and meta-analysis of practically 200,000 sufferers throughout 20 randomized statin trials discovered that the connection between LDL (or non-HDL ldl cholesterol) discount and precise cardiovascular outcomes is surprisingly weak.
Sure, statins cut back occasions total, however how a lot LDL drops explains nearly none of the discount in coronary heart assaults, strokes, or mortality.
Within the assessment, decrease LDL appeared good on paper, nevertheless it failed as a dependable predictor of real-world outcomes. This reinforces earlier findings from a 2022 JAMA Inside Medication evaluation, which confirmed related cracks within the LDL-centric mannequin.
Now, nuance issues right here. In case you’re metabolically infected, insulin resistant, have current coronary heart illness, or have a powerful household historical past of it, statins can completely be useful.
However this research helps what I’ve mentioned for years: LDL is a marker, not a grasp swap. Cardiovascular danger is pushed by irritation, endothelial operate, oxidative stress, metabolic well being, nervous system steadiness, sleep, and life-style—not only a single ldl cholesterol quantity.
The massive takeaway right here is that reducing LDL alone isn’t the identical as reducing coronary heart illness danger.
If you wish to go deeper into smarter coronary heart testing, irritation markers, life-style methods, and when meds truly make sense, you may try the extra sources beneath:
Improve Your Well being in Much less Than 30 Days with LIFE Premium for $1 💪

Making an attempt to improve your well being however overwhelmed by conflicting recommendation, excessive costs, and too many choices?
LIFE Premium gives you with easy steering, trusted consultants, and a supportive neighborhood, multi functional place.
It’s often $12.99/month, however proper now you may obtain 1 month of LIFE Premium for simply $1.
LIFE Premium offers you a totally built-in well being ecosystem that features:
- 🤖 Ellen: Your private AI well being assistant to ask limitless questions, set objectives, and construct customized wellness plans.
- 🫶 Neighborhood + Occasions: Join with like-minded members, share wins, and be a part of reside occasions.
- 📚 Advert-Free Library: Podcasts (together with Boundless Life), exercises, recipes, articles, movies, and professional content material.
- 💬 Teams: Be part of centered conversations and construct actual connections round your well being objectives.
- 📍 Locations: Discover wholesome gyms, yoga studios, eating places, and wellness spots close to you.
- 🏋️ TRIUMPH Group Teaching: Every day exercises + small group teaching classes led by elite coaches I’ve personally educated.
Every thing works collectively in a single easy system, so that you don’t must determine it out alone.
This Week in Well being & Efficiency: What the Newest Analysis Says
💪 The Finest Train Combo for Blood Sugar Management: New analysis reveals that pairing power coaching with cardio train, particularly high-intensity interval coaching (HIIT), is the best manner to enhance blood sugar administration, outperforming both strategy alone. If metabolic well being is your aim, this combo is hard to beat (research right here).
🧠 Magnesium That Makes Your Mind Youthful: In a stunning six-week trial, supplementation with magnesium L-threonate (Magtein®) lowered cognitive age by as much as 7.5 years in comparison with placebo, with extra advantages for sleep and psychological efficiency (learn extra right here).
❤️ An Missed, Low-Value Approach to Battle Arterial Plaque: This deep-dive highlights a reasonable intervention proven to halt, and even reverse, plaque accumulation, a discovering that’s been largely ignored by mainstream cardiology for many years (go deeper right here).
Key Takeaways: Sensible coaching combos, focused micronutrients, and ignored cardiovascular methods can ship outsized returns, even with out fancy instruments or excessive protocols.
Need to dive deeper? Click on the hyperlinks above to discover the analysis, and click on right here to comply with me on X for all the most recent well being and efficiency information scorching off the press!
Product Of The Week
::: Quick With Extra Vitality, Readability, and Zero Crashes (& Get a FREE Pattern Pack w/ Your Buy) :::
Too many individuals strive fasting and fully overlook about electrolytes, then surprise why they really feel dizzy, weak, crampy, or worn out midway by means of.
That often will get blamed on “not consuming,” and sure, a bit starvation is a part of the deal. However fasting shouldn’t make you lightheaded, exhausted, or susceptible to muscle cramps. These are traditional indicators of electrolyte depletion.
Throughout a quick, you cease replenishing electrolytes from meals whereas your physique concurrently excretes extra sodium (a course of referred to as natriuresis of fasting), creating the right setup for feeling terrible.
If you wish to preserve power, psychological readability, and bodily efficiency whereas fasting, electrolytes aren’t optionally available—they’re important.
The issue is that the majority electrolyte merchandise are both loaded with sugar or severely underdosed.
That’s the place LMNT shines.
Created by former analysis biochemist Robb Wolf and Ketogains founder Luis Villaseñor, LMNT delivers significant doses of sodium, potassium, and magnesium, with zero sugar, no synthetic colours, and no junk substances to sabotage your quick.
And it truly tastes good! Fan favorites embody Citrus Salt and Raspberry Salt, Mango Chili when you like some warmth, or Chocolate Salt blended into espresso for a legit mocha-style improve.
In case you’re able to expertise the distinction for your self, you may head to their website right here and get a FREE LMNT Pattern Pack with any drink combine or glowing buy.
Podcasts I Recorded This Week:


The Newest Content material I Was Featured On This Week:
Biohacking the Vagus Nerve f. Ben Greenfield — The Well being Improve Podcast
Ben Greenfield on Elevating Wholesome Youngsters, Being pregnant Health, and Dad Preparation
My Article Feed:
My full article feed and all archives of my articles are right here.
Upcoming Occasions:
“Turn into Boundless” Longevity Retreat — April 29–Could 3, 2026
Be part of Ben Greenfield and Dr. Matthew Prepare dinner in Nassau, Bahamas, at Champion Spirit Nation Membership for the “Turn into Boundless” Longevity Retreat. This immersive, all-inclusive expertise facilities on day by day exercises and mobility coaching, superior longevity and restoration therapies, expert-led workshops and Q&As, guided breathwork and meditation, and natural, nutrient-dense meals. You’ll have hands-on entry to modern modalities, together with hyperbaric oxygen, cryotherapy, distinction remedy, chilly plunges, purple gentle sauna, and performance-focused therapies, all woven right into a luxurious, ocean-adjacent coaching setting designed to assist deep restoration, resilience, and sustained vitality. Discover particulars and reserve your spot right here.
Keep tuned for future updates—and you’ll at all times sustain with my LIVE appearances by testing bengreenfieldlife.com/calendar!
This Week’s Most Widespread Instagram Put up:
This Week’s Most Widespread Tweet:
This Week’s Most Widespread Fb Put up:
Ben


