The photo voltaic corona and photo voltaic wind are turbulent plasma environments the place vitality switch from large-scale magnetohydrodynamic (MHD) fluctuations to smaller kinetic scales is believed to play a vital function in coronal heating and photo voltaic wind acceleration. Regardless of many years of analysis, the properties of turbulence at ion scales, the place dissipation happens, stay poorly constrained resulting from restricted observational knowledge. Furthermore, the exact mechanisms that warmth the corona, and speed up and warmth the photo voltaic wind, stay largely open questions (e.g., De Moortel & Browning 2015; Kiyani et al. 2015; Smith & Vasquez 2024).
Each in-situ spacecraft measurements and distant sensing strategies present complementary insights $>10 R_odot$, however direct measurements near the Solar ($<10 R_odot$,) are unavailable. Photo voltaic radio bursts, significantly sort III bursts, provide a novel probe of density fluctuations, offering constraints on turbulence properties from the low corona to 1 au.
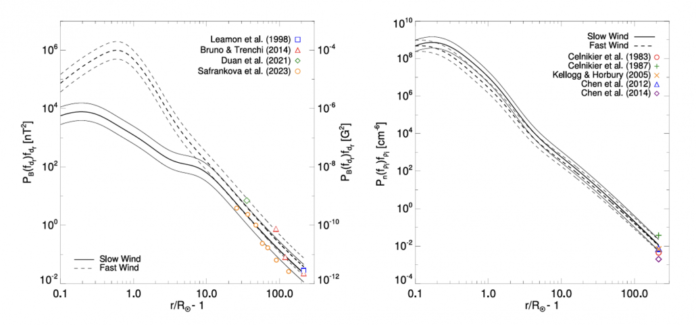
The current paper by Kontar et al 2025 finds that the magnetic fluctuations noticed by Parker Photo voltaic Probe in situ and density fluctuation amplitudes obtained from radio measurements are in keeping with excitation by kinetic Alfvén waves (KAWs) and/or KAW constructions over a broad vary of distances from the Solar. Utilizing radio diagnostics and the KAW state of affairs to infer the radial variation of magnetic fluctuation amplitudes in areas near the Solar the place in situ measurements can’t be obtained (Determine 1).

Determine 1: Left: Magnetic fluctuations $P_Bleft(f_{d_r}proper) f_{d_r}$ on the break and the expected magnitude from radio-inferred density fluctuations. The stable and dashed traces present the anticipated values from kinetic Alfvén waves, for the sluggish and quick photo voltaic wind parameters given within the Appendix, and the plus and diamond symbols are based mostly on measurements by Parker Photo voltaic Probe. The bands symbolize a scaling issue from 0.5 to 2 that accounts for the unfold in measurements of density fluctuations. Proper: Density fluctuations $P_nleft(f_{rho_i}proper) f_{rho_i}$ on the break and the information at 1 au as proven in Determine 3 of Kontar et al. (2025).
Utilizing this outcome, we have now estimated the turbulence vitality cascade charge close to ion scales (the place the wave spectrum transitions from inertial to kinetic scales), and we discover that the speed is similar to the vitality switch charge obtained within the photo voltaic wind at bigger inertial scales from in-situ measurements. The radio-inferred heating charge decreases with distance quantitatively much like in-situ measurements reported within the literature (Determine 2).

Determine 2. Vitality cascade charge utilizing two fashions of the corona: an equatorial lively area with sluggish photo voltaic wind (stable traces), and a coronal gap with quick photo voltaic wind (dashed traces). The bands symbolize a scaling issue ranging between 0.5 and a pair of as in Figure1. The overplotted knowledge are from in situ measurements. For particulars see Kontar et al 2025.
Abstract
We current a novel method that mixes radio diagnostics of density fluctuations with
in-situ measurements of magnetic turbulence to probe ion-scale turbulence amplitude from the low corona to 1 au. By linking these observations to the MHD turbulent cascade, we infer the radial evolution of magnetic fluctuation amplitudes and compute the related vitality cascade charge in areas inaccessible to spacecraft measurements. Our outcomes reveal a constant image of turbulence-driven heating throughout three orders of magnitude in heliocentric distance, providing new insights into the elemental processes powering the photo voltaic environment and wind.
Based mostly on the current paper by Kontar, E.P., Emslie, A.G. Clarkson, D.L. and Pitňa, A. The Astrophysical Journal Letters, 991 L57 (2025) doi: 10.3847/2041-8213/ae09b0
References
De Moortel & Browning, 2015, Ph Roy. Soc. Phil. Trans. A, 373, 20140269;
Kiyani et al. 2015, Ph Roy. Soc. Phil. Trans. A, 373, 20140155;
Kontar, et al, 2025, ApJ Letters, 991 L57
Smith & Vasquez, 2024 Frontiers in Astr and Area Sciences, 11, 1371058